Mogilev, Belarus
Minsk, Belarus
UDC 65.015.25
UDC 519.862.6
This paper examines the time costs associated with interpersonal interactions that accompany the collective resolution of production and educational tasks by a group of individuals. Interpersonal interactions are an integral part of teamwork, ensuring action coordination and experience exchange. Managing these interactions and standardizing the time spent on them is a subject of study in organizational system management. Brooks’s Law explains the quadratic growth in the number of interpersonal interactions in production groups as their size increases. This work proposes an empirical method for standardizing time spent on each such interaction, as well as the overall task labour intensity, based on Brooks’s Law deriving an equation to link these two parameters. The work considers three methods for experimentally determining the values of these two parameters. The simplest method of solving a system of two linear equations proved unsuitable due to the significant impact of measurement errors on the results. The two proposed time standardization methods are based on mathematical statistics, fuzzy logic, and multiple experiments. The paper also compares the labour intensity of tasks with varying degrees of heterogeneity. The labour intensity of such tasks and the proportion of time costs for interpersonal interaction among group members during their solution are experimentally calculated. During standardized interactions among members of production and educational groups, there is an exchange of knowledge, experience, corporate culture formation, and emotional climate. All of this collectively represents an important intangible resource for production. Therefore, in conclusion, the paper proposes not to consider the time spent on interpersonal interactions as a cost.
labour intensity, diminishing returns, agile management, project management, organizational system management
Введение
Применение прикладных математических методов решения практических задач всегда ставило математику во главе всех методов научного познания. В свою очередь развитие математики обусловлено практической потребностью в строгой формализации естественно-научных законов и получении количественных результатов. В настоящее время основными драйверами развития математики являются прикладные задачи теории управления большими данными, машинного обучения, искусственного интеллекта, построения систем поддержки принятия управленческих решений (СППР). Современные СППР стали обязательным инструментом в управлении бизнесом крупных корпораций и даже государств. Анализируя тенденции развития цифрового менеджмента, следует обратить внимание на роль цифровизации психологических факторов мотивации и вовлечённости персонала. Цифровая трансформация сферы образования также требует развития и внедрения гибких технологий управления трудовыми ресурсами [1]. В свете внедрения гибких технологий управления учебным процессом и оптимизации численности учебных групп возникла задача нахождения оптимального соотношения состава и продуктивности студенческих бригад при коллективном выполнении лабораторных работ [2].
Проблема формирования и оптимизации численности трудовых коллективов относится к сфере задач управления организационными системами. Главной особенностью управления такими системами является обязательное наличие в них активного звена – человека. Возросшее внимание к изучению человеческого фактора в работе организационных систем продиктовано не только сложностью его прогнозирования. Именно человеческий фактор является единственным генератором знаний, а также фактором творческого инновационного решения возникающих задач. Если деятельность организации в целом определяется надёжностью механизмов функционирования, то деятельность отдельных команд этой организации зависит от профессиональных, социально-личностных и репутационных качеств составляющих её членов [3]. Репутационные качества обуславливают степень слаженности работы группы и уровень взаимного доверия её членов, отражающиеся в социометрическом графе коммуникативного поведения [4]. А множество социально-профессиональных компетенций членов группы определяют степень её неоднородности [5].
Межличностное взаимодействие в неоднородных группах.
Известно, что первыми внимание к самоорганизации производственных групп и порождаемому ими синергетическому эффекту генерации новых знаний привлекли в 1986 году I. Nonaka и H. Takeuchi [6]. Они обратили внимание на цикличность процессов зарождения личных знаний отдельных работников, последующей социализации, экстернализации и формализации производственной информации в форму корпоративной действующей технологии. Их подход лёг в основу современного менеджмента знаний в решении задач высокой степени неопределённости в рамках гибких технологий управления, таких как Scrum, Канбан.
Обязательным условием инициативы и самоорганизации членов группы в интересах предприятия является наличие социального капитала – «отношений взаимовыгодного знакомства, признания и членства в этой группе» [7]. Вторым немаловажным условием совместной инновационной деятельности рабочей группы является благоприятный эмоциональный климат в коллективе, мотивирующий сотрудников к изобретательству и рационализации, к обмену знаниями, к трансформации знаний в корпоративную информацию, к патентованию изобретений [8]. Оба эти фактора на уровне управления культивируются поощрением дружеских доверительных связей и личной коммуникации между членами команды в рабочее и нерабочее время. Надёжность доверительных связей внутри коллектива C. McComb сравнивает с ковалентными связями в химических соединениях, объясняя синергетический эффект возникновения у группы тех свойств, которые не были характерны отдельным её членам [9]. Контекстно-свободное общение сотрудников во время работы может быть как продуктивным – посвящённым обмену опытом и совместному решению производственных задач, так и непродуктивным общением на личные темы. Однако и непродуктивное общение служит укреплению социального и эмоционального ресурса коллектива, формированию в нём эффективных статусно-ролевые структур, как фактора инновационной деятельности.
Нормирование времени.
Задачей данной работы является разработка методики оценки и нормирования допустимых издержек времени на межличностные взаимодействия членов производственной или учебной группы. В основе выбранного подхода лежат базовые принципы управления программной инженерией и производством программной продукции, сформулированные B. Boehm, E.W. Dijkstra, W.W. Royce и F.P. Brooks [10-12]. В частности закон Брукса позволяет сопоставить объём издержек времени на межличностные взаимодействия напрямую с численностью команды N. Если принять допустимую долю времени рабочего времени, потраченного на общение как k, то затраты времени отдельного работника в нормируемом периоде рабочего времени составят:
где t – нормированное время труда одного работника однородной группы, полученное делением номинальной трудоёмкости на численность группы t = Pном/N.
Действительная трудоёмкость проекта окажется больше номинальной на величину Pизд = tизд·N/2 и составит:
(1)
Из этого выражения:
(1 а)
Практическую сложность представляет точное количественное измерение как номинальной трудоёмкости Pном, так и коэффициента k. Отработке и апробированию методики измерения этих параметров посвящён следующий эксперимент.
Описание эксперимента. В качестве эксперимента оценивалась трудоёмкость коллективного выполнения учебных лабораторных работ по дисциплине «Техника фотографии» учебного плана специальности 6-05-0211-05 «Графический дизайн и мультимедиа дизайн» однородными студенческими бригадами. В рамках эксперимента группам численностью Ni от 4 до 10 человек предлагалось выполнить одинаковое по сложности и трудоёмкости задание. В каждом случае точно фиксировался промежуток времени Ti от постановки задачи и выдачи методического описания лабораторной работы до предоставления требуемого фотоотчёта.
Исходные данные шести экспериментов представлены в табл. 1.
Этих экспериментальных данных достаточно для вычисления действительной трудоёмкости выполнения работы для каждого из экспериментов Pдi, и численного параметра (Ni –1)/2, стоящего при коэффициенте нормирования времени на межличностную коммуникацию в формуле (1). Неизвестными в этом выражении оставались только два члена: Pном и k, находящиеся в обратной зависимости. Преобразовать зависимость к линейной можно, рассматривая вместо номинальной трудоёмкости Pном обратную ей величину:
Нахождение численных значений
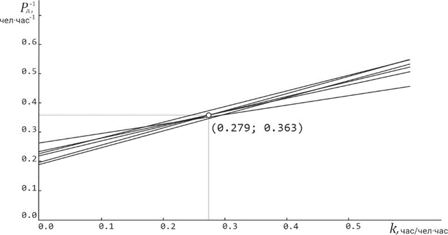
и k по данным двух экспериментов на основании решения системы из двух линейных уравнений оказалось неприемлемым из-за значительного влияния погрешностей эксперимента. Точное нахождение этих параметров требует учёта всех экспериментальных данных. Однако из-за тех же погрешностей эксперимента пучок прямых описываемых системой шести линейных уравнений
не имеет общей точки (рис. 1).
Предложенный аналитический подход к решению задачи заключался в нахождении той стационарной точки M (
, k), расстояния от которой до каждой из прямых этого пучка будут минимальными.
Таблица 1.
Исходные экспериментальные данные о численности студенческих групп и продолжительности выполнения лабораторной работы
Table 1.
Initial experimental data on the number of student groups and the duration of laboratory work
|
№ и наименование лабораторной работы |
Номер эксперимента |
Численность группы, |
Продолжительность |
Действительная |
Временные издержки |
|
i |
Ni |
Ti |
Pдi= Ni‧Ti |
k‧(Ni-1)/2‧Pдi |
|
|
Лабораторная работа №1. Техника фотосъёмки |
1 |
4 |
0.98 |
3.92 |
0.383·k |
|
2 |
5 |
0.88 |
4.40 |
0.455·k |
|
|
3 |
5 |
0.83 |
4.15 |
0.482·k |
|
|
4 |
7 |
0.73 |
5.11 |
0.587·k |
|
|
5 |
9 |
0.65 |
5.85 |
0.684·k |
|
|
6 |
10 |
0.62 |
6.20 |
0.726·k |
Рис. 1. Семейство графиков системы линейных уравнений
Fig. 1. A family of graphs of a system of linear equations
Расстояния от произвольной точки до каждой из прямых можно записать как:
Для поиска координат точки, удовлетворяющей условию минимального расстояния до каждой из прямых, исследуем на экстремум функцию двух переменных:
Для этого найдём стационарные точки и проверим выполнение в найденных точках достаточного условия экстремума функции.
Продифференцируем сумму по каждой переменной:
Координаты искомой точки M (
, k) будут решением системы уравнений:
Для конкретных численных значений из табл. 1 решением этой системы являются значения: k = 0.278611;
= 0.362513, что соответствует Pном = 2.75252 (Рис. 2, а).
Проверка выполнения достаточного условия экстремума функции в найденной точке M (0.278611, 0.362513) требует нахождения частных производных:
В итоге вычислений:
A = 5.91781‧10-14,
B = – 4.90199‧10-14,
C = – 1.20792‧10-13;
A‧C – B2 = 4.7453‧10-27 > 0 и A > 0.
Найденная точка M (0.278611, 0.362513) является решением:
- номинальная трудоёмкость лабораторной работы составляет Рном = 2.75252 чел‧час (самостоятельное выполнение лабораторной работы одним студентом потребует более четырёх академических часов);
- коэффициент издержек времени на межличностные взаимодействия членов группы k = 0.278611 час/чел‧час (28% учебного времени требуется студенту для обсуждения учебных и личных тем с каждым из участников группы), как и показано на рис. 2, а.
Одной из проблем аналитического метода вычислений является его громоздкость, возрастающая на порядки с увеличением числа экспериментов. Более значительной проблемой является статистическая оценка точности результатов. Альтернативный вариант решения основан на теории математической статистики [13].
Пусть
и k связаны линейной зависимостью, и должны одновременно удовлетворять всем заданным условиям. Рассмотрим линейную функцию
, график которой должен проходить через точки с эмпирически полученными неточными координатами (рис. 2, б).
Воспользуемся такой аппроксимирующей функцией
, что отклонения (разности значений функции при заданных аргументах и ординат точек) будут минимальными. Отклонения обозначим как
. Для поиска функции f (x) воспользуемся методом наименьших квадратов. Для этой функции сумма
должна быть наименьшей.
Выборочная парная линейная регрессия имеет вид:
,
где
– условное среднее арифметическое наблюдаемых значений yi, соответствующих значениям xi;
a и b – точечные оценки, которые необходимо найти.
Для построения парной линейной регрессии необходимо выполнение предпосылок метода наименьших квадратов (условий Гаусса-Маркова [14]):
1) математическое ожидание случайного отклонения ei равно нулю
, то есть случайное отклонение в среднем не оказывает влияния на зависимую переменную;
2) дисперсия случайных отклонений постоянна (условие независимости дисперсии ошибки от номера наблюдения)
;
3) случайные отклонения εj и εi некоррелированы
;
4) ошибки не носят систематического характера
;
5) модель является линейной относительно параметров.
а)
б)
Рис. 2. Решение задачи поиска точки с минимальным расстоянием до прямых пучка аналитическим методом (а) и на основании статистического подхода (б)
Fig. 2. Solving the problem of finding a point with the minimum distance to the straight lines of the beam by the analytical method (a) and based on the statistical approach (b)
При условии выполнения предпосылок, можно строить линейную регрессию, в которой:
- выборочный корреляционный момент для данных из табл. 1 составляет:
;
- выборочный коэффициент корреляции:
Величина абсолютного значения коэффициента корреляции
подтверждает линейную зависимость значений yi и xi.
Коэффициенты a и b составляют:
, (k = 0.278611 час/чел‧час),
, (Рном = 1/b = 2.75252 чел‧час).
Таким образом, искомая функция при подстановке данных эксперимента приобретает вид:
, со среднеквадратичной ошибкой результата:
Среднеквадратичное отклонение составляет:
Обсуждение результатов.
По отлаженным методикам были рассчитаны результаты ещё четырёх экспериментов, исходные данных которых представлены в табл. 2. В этой таблице приведены данные о численности студенческих групп и времени выполнения ими лабораторных работ учебного курса «Фотографика»:
- №6 «Работа со студийными источниками света»;
- №7 «Рассеяние и отражение света»;
- №11 «Портретная фотосъёмка, фотосессии»;
- №14 «Работа с референсами».
Таблица 2.
Исходные экспериментальные данные о численности студенческих групп и продолжительности выполнения лабораторных работ
Table 2.
Initial experimental data on the number of student groups and the duration of laboratory work
|
№ и наименование лабораторной работы |
Численность группы, чел |
Продолжительность |
Действительная |
Временные издержки |
|
Ni |
ti |
Pдi= Ni‧ti |
k‧(Ni-1)/2‧Pдi |
|
|
Лабораторная работа №6. |
5 |
1.13 |
5.65 |
0.354·k |
|
5 |
1.10 |
5.50 |
0.364·k |
|
|
7 |
0.88 |
6.16 |
0.487·k |
|
|
8 |
0.84 |
6.72 |
0.521·k |
|
|
8 |
0.82 |
6.56 |
0.534·k |
|
|
9 |
0.80 |
7.20 |
0.556·k |
|
|
10 |
0.75 |
7.50 |
0.600·k |
|
|
Лабораторная работа №7. |
4 |
0.82 |
3.28 |
0.457·k |
|
6 |
0.67 |
4.02 |
0.622·k |
|
|
7 |
0.60 |
4.20 |
0.714·k |
|
|
7 |
0.67 |
4.69 |
0.640·k |
|
|
9 |
0.62 |
5.58 |
0.717·k |
|
|
9 |
0.55 |
4.95 |
0.808·k |
|
|
Лабораторная работа №11. Портретная фотосъёмка, фотосессии |
3 |
1.53 |
4.59 |
0.218·k |
|
4 |
1.27 |
5.08 |
0.295·k |
|
|
4 |
1.23 |
4.92 |
0.305·k |
|
|
6 |
0.95 |
5.70 |
0.439·k |
|
|
7 |
0.90 |
6.30 |
0.476·k |
|
|
9 |
0.76 |
6.84 |
0.585·k |
|
|
10 |
0.80 |
8.00 |
0.562·k |
|
|
10 |
0.73 |
7.30 |
0.616·k |
|
|
Лабораторная работа №14. |
3 |
0.85 |
2.55 |
0.392·k |
|
3 |
0.88 |
2.64 |
0.379·k |
|
|
6 |
0.57 |
3.42 |
0.731·k |
|
|
7 |
0.55 |
3.85 |
0.779·k |
|
|
7 |
0.52 |
3.64 |
0.824·k |
|
|
10 |
0.44 |
4.40 |
1.023·k |
|
|
10 |
0.48 |
4.80 |
0.938·k |
По своему содержанию лабораторные работы обладают различной степенью сложности. Так же, как и лабораторная работа №1, они обладают неизвестной, но предполагаемой величиной трудоёмкости, которую требовалось выяснить в ходе эксперимента. Задания выполнялись однородными студенческими группами численностью от 3 до 10 человек.
Результаты расчёта номинальной трудоёмкости и коэффициента издержек времени статистическим и аналитическим методами представлены на рис. 3 и в табл. 3.
На основании предварительной оценки результатов можно отметить, что номинальная трудоёмкость работ и коэффициент затрат времени на её обсуждение никак не связаны между собой. Самая трудоёмкая лабораторная работа №6 потребовала от студентов минимальных временных издержек на коммуникацию. Скорее всего эти два параметра являются независимыми либо их сложная зависимость требует отдельных статистических исследований.
а)
б)
в)
г)
Рис. 3. Нахождение номинальной трудоёмкости лабораторных работ №6 (а), №7 (б), №11 (в), №14 (г) и соответствующих коэффициентов издержек времени.
Fig. 3. Finding the nominal labor intensity of laboratory work No. 6 (a), No. 7 (b), No. 11 (c), No. 14 (d) and the corresponding time cost coefficients.
Таблица 3.
Расчётные результаты номинальной трудоёмкости лабораторных работ и коэффициентов издержек времени
Table 3.
Calculated results of nominal labor intensity of laboratory work and time cost coefficients
|
№ и наименование |
Номинальная трудоёмкость,
Pном, чел·час |
Коэффициент издержек времени, k, час/чел·час |
Средне-квадратичное отклонение, σ |
|
Лабораторная работа №1. Техника фотосъёмки |
2.76 |
0.279 |
0.124 |
|
Лабораторная работа №6. |
4.03 |
0.189 |
0.088 |
|
Лабораторная работа №7. |
2.29 |
0.312 |
0.109 |
|
Лабораторная работа №11. Портретная фотосъёмка, фотосессии |
3.77 |
0.218 |
0.140 |
|
Лабораторная работа №14. |
2.04 |
0.275 |
0.232 |
На графиках расчётных зависимостей действительной продолжительности лабораторных работ от численности студенческих групп видно (рис. 4), что оптимальный состав группы должен находиться в переделах 2…6 человек. Именно такая численность обеспечивает минимальные издержки времени на межличностные взаимодействия. Увеличение численности студентов свыше 9 человек значительно снижает их продуктивность.
Оценённая экспериментально номинальная трудоёмкость лабораторных работ вместе с оптимальной численностью студенческих групп представлены в табл. 4. Данные таблицы демонстрируют условия, при которых межличностные взаимодействия не мешают, а благоприятствуют выполнению лабораторной работы и усвоению учебного материала. Следует учитывать, что при индивидуальной работе, например при отработке пропущенной лабораторной работы, в нормировании времени студента и времени преподавателя следует опираться на номинальную трудоёмкость задания.
Издержки времени при решении неоднородных задач.
Заключительной частью исследования являлся эксперимент по оценке трудоёмкости задач и временных издержек в неоднородных группах. С методологической точки зрения этот эксперимент значительно усложняется предварительной оценкой компетенций членов неоднородной группы, последующим распределением задач, контролем вовлечённости. Продолжительность лабораторных работ не укладывается в рамки лабораторного занятия и требует нормирования и контроля внеаудиторной работы студентов. Само содержание предназначенной для неоднородной группы работы должно быть сложным, системно охватывающим вопросы различных дисциплин и требующим от участников эксперимента разнородных компетенций. Таким условиям соответствует практическая часть дисциплины «Информационные системы корпоративного управления» для студентов специальности 6-05-0611-04 «Электронная экономика» IV курса обучения [2].
Перед студентами была поставлена комплексная задача подготовки коллективного отчёта, содержащего:
- хронологию развития теории управления it-проектами;
- обзор практически значимых научных и методических трудов;
- анализ методов классического и гибкого управления it-проектами.
В качестве источников информации и исходных данных были предложены стандарты продуктового менеджмента, ресурсы поисковой системы Google Scholar, курс лекций, учебный фонд кафедры. Главной задачей организации ситуационной обучающей игры было распределение задач и объёмов исходной информации между студентами.
Методически работа была построена следующим образом:
- практические занятия продолжительностью по 4 академических часа и периодичностью раз в две недели имели форму scrum-митингов, в ходе которых заслушивались и коллективно обсуждались индивидуальные доклады, принимались решения о ценности материалов доклада для коллективного отчёта, подводились промежуточные итоги, планировались и фрагментировались цели и задачи последующего спринта [2];
- перечень поставленных задач со сроками их выполнения размещался на электронном ресурсе дисциплины в среде Moodle LMS, там же создавался онлайн-форум для обсуждений, собиралась обратная связь на протяжении каждого спринта;
- активность и удовлетворённость студентов оценивалась на основании их участия в scrum-митингах и онлайн-форуме, по их вовлечённости в научно-исследовательскую работу, при помощи прямых и косвенных тестов [15].
Рис. 4. Зависимости расчётной длительности лабораторных работ от численного состава студенческих групп с учётом экспериментальных значений трудоёмкости и издержек времени.
Fig. 4. The dependence of the estimated duration of laboratory work on the numerical composition of student groups, taking into account the experimental values of labor intensity and time costs.
Таблица 4.
Рекомендуемая оптимальная численность студенческих групп и нормированное время на выполнение лабораторных работ
Table 4.
The recommended optimal number of student groups and the normalized time for laboratory work
|
Рекомендуемые условия |
Лабораторная работа №1. Техника фотосъёмки |
Лабораторная работа №6. |
Лабораторная работа №7. |
Лабораторная работа №11. Портретная фотосъёмка, фотосессии |
Лабораторная работа №14. |
|
Номинальная трудоёмкость лабораторной работы, Pном, чел·час |
2.76 |
4.03 |
2.29 |
3.77 |
2.04 |
|
Оптимальная численность группы, N, чел |
5 |
5 |
5 |
5 |
5 |
|
Продолжительность лабораторного занятия, t, час |
2.09 |
2.33 |
1.88 |
2.40 |
1.53 |
Роль преподавателя заключалась в контроле вовлечённости студентов в коллективный процесс, модерировании семинаров и обсуждений, оперативной постановке и корректировке целей, фрагментировании задач. В связи со значительной ролью в учебной деловой игре преподавателя, при расчётах он также был включён в общую численность группы.
Методические результаты эксперимента, заключающиеся в объёме полученных студентами новых знаний изложены в работе [2]. Хронометраж выполнения работы приведен в табл. 5. На основании этих данных рассчитана действительная трудоёмкость работы каждой из трёх групп и показатель при коэффициенте временных издержек (табл. 6), составившие исходные данные для статистического и аналитического расчёта номинальной трудоёмкости задачи и нормирования временных издержек на коммуникацию (рис. 5).
Расчётная величина номинальной трудоёмкости проекта составила 234.405 чел‧час. Норма затрат времени на межличностные взаимодействия внутри группы весьма высока и составляет – 0.724 час/чел‧час. Вероятно, высокая норма издержек времени на взаимодействие во время выполнения сложных проектов неоднородными группами является закономерной, поскольку именно общение между членами таких групп обеспечивает обмен мнениями и формирование коллективного знания. Именно такая практика распределения трудового и информационного ресурса рекомендована гибкими методами управления it-проектами, требующими решения задач с высокой степенью информационной неопределённости [6].
Таблица 5.
Данные моделирования научно-исследовательской деятельности
Table 5.
Modeling data for research activities
|
Этапы работы |
Аудиторное время, tауд, час |
Дистанционное время, tдист, час |
Время руководителя, tр, час |
Итого, ti, час |
|
Группа №1 (4 чел.) |
||||
|
Распределение ролей (тестирование) |
1.00 |
|
1.00 |
126.92 |
|
Изучение материалов |
|
38.50 |
|
|
|
Заслушивание и обсуждение докладов |
1.92 |
|
|
|
|
Постановка новых задач |
0.92 |
|
|
|
|
Оценка вовлечённости методом опроса «360°» |
|
2.00 |
1.00 |
|
|
Дополнение и оформление материалов |
|
37.50 |
|
|
|
Зачитывание и обсуждение рефератов |
1.66 |
|
|
|
|
Оценка вовлечённости методом опроса «360°» |
|
2.00 |
1.00 |
|
|
Работа над коллективным отчётом |
|
22.50 |
|
|
|
Зачитывание и обсуждение коллективного отчёта |
2.22 |
|
1.50 |
|
|
Внесение правок |
|
6.50 |
1.00 |
|
|
Релиз |
|
|
1.70 |
|
|
Оценка вовлечённости методом опроса «360°» |
|
2.00 |
1.00 |
|
|
Группа №2 (8 чел.) |
||||
|
Распределение ролей (тестирование) |
1.00 |
|
1.20 |
107.51 |
|
Изучение материалов |
|
29.00 |
|
|
|
Заслушивание и обсуждение докладов |
2.07 |
|
|
|
|
Постановка новых задач |
1.56 |
|
|
|
|
Оценка вовлечённости методом опроса «360°» |
|
4.00 |
1.00 |
|
|
Дополнение и оформление материалов |
|
33.50 |
|
|
|
Зачитывание и обсуждение рефератов |
1.44 |
|
|
|
|
Оценка вовлечённости методом опроса «360°» |
|
4.00 |
1.00 |
|
|
Работа над коллективным отчётом |
|
12.25 |
|
|
|
Зачитывание и обсуждение коллективного отчёта |
0.64 |
|
1.50 |
|
|
Внесение правок |
|
5.50 |
1.00 |
|
|
Релиз |
|
|
1.85 |
|
|
Оценка вовлечённости методом опроса «360°» |
|
4.00 |
1.00 |
|
|
Группа №3 (11 чел.) |
||||
|
Распределение ролей (тестирование) |
1.30 |
|
1.55 |
102.21 |
|
Изучение материалов |
|
20.50 |
|
|
|
Заслушивание и обсуждение докладов |
1.85 |
|
|
|
|
Постановка новых задач |
0.48 |
|
|
|
|
Оценка вовлечённости методом опроса «360°» |
|
6.50 |
1.62 |
|
|
Дополнение и оформление материалов |
|
29.70 |
|
|
|
Зачитывание и обсуждение рефератов |
1.44 |
|
|
|
|
Оценка вовлечённости методом опроса «360°» |
|
6.50 |
1.52 |
|
|
Работа над коллективным отчётом |
|
12.50 |
|
|
|
Зачитывание и обсуждение коллективного отчёта |
0.32 |
|
1.51 |
|
|
Внесение правок |
|
4.67 |
1.10 |
|
|
Релиз |
|
|
1.15 |
|
|
Оценка вовлечённости методом опроса «360°» |
|
6.50 |
1.50 |
|
Таблица 6.
Исходные экспериментальные данные о численности студенческих групп и продолжительности выполнения лабораторной работы
Table 6.
Initial experimental data on the number of student groups and the duration of laboratory work
|
Наименование лабораторной работы |
Номер эксперимента |
Численность группы, чел |
Продолжительность труда, час |
Действительная |
Временные издержки |
|
i |
Ni |
ti |
Pдi= Ni‧ti |
k‧(Ni-1)/2‧Pдi |
|
|
Учебная деловая игра |
1 |
4 |
126.92 |
507.68 |
0.00295·k |
|
2 |
8 |
107.51 |
860.08 |
0.00407·k |
|
|
3 |
11 |
102.21 |
1124.31 |
0.00445·k |
Рис. 5. Нахождение номинальной трудоёмкости учебной деловой игры «Управление it-проектами» и соответствующих коэффициентов издержек времени.
Fig. 5. Finding the nominal labor intensity of the educational business game "IT Project Management" and the corresponding time cost coefficients.
Закон убывающей производительности.
В производственной деятельности выполнение любой работы требует сбалансированного количества исходных ресурсов. Зависимость объёмов производства Q от количественного соотношения n факторов моделируют производственными функциями, среди которых наиболее распространена функция Кобба-Дугласа [16]:
(8)
Согласно этой формуле, влияние количества i-ого производственного фактора Fi ограничено показателем эластичности его замещения другими факторами μi. Значения всех этих показателей лежат в пределах 0 < μi < 1, а их сумма должна быть равна единице
. В общем случае производственная функция демонстрирует, каким количеством одного фактора можно заменить недостаток другого без ущерба для объёма производства, и это принято называть эластичность замещения. Степенной характер зависимости объёмов производства от каждого из факторов по отдельности демонстрирует свойство насыщения – чем больше количество отдельного фактора при стабильности прочих, тем меньшее влияние оказывает его приращение на результат.
Такая связь единиц труда и единиц капитала классической экономикой признаётся существенной, закономерной и носит название закона убывающей предельной производительности. А.А. Никулин на основании практических данных демонстрирует, как в ограниченном временном периоде увеличение численности работников при неизменном количестве станков сначала приводит к повышению объёмов произведённой продукции, а затем достигает насыщения [17]. Закономерно, что увеличение численности работников при остановившемся росте объёмов продукции выразится в снижении их производительности. В приведенных А.А. Никулиным данных максимальная предельная производительность наступала в момент, когда соотношение численности работников и количества станков было близко к 2/3. Проблему убывающей производительности труда предлагается решать за счёт производственной дисциплины, составляющей часть корпоративной культуры [17]. По нашему мнению, именно корпоративная культура отражается на регулирующей функции межличностных производственных взаимоотношений, поскольку эти взаимоотношения выполняют сразу две роли:
- преобразование рассеянного знания в корпоративную производственную информацию в ходе личного обсуждения производственных задач;
- поддержание эмоционального климата, преумножения эмоционального интеллекта в коллективе, а также доверия работников друг другу, формируют ту эффективную статусно-ролевую структуру, которая составляет социальный ресурс предприятия.
Выводы.
Действительная трудоёмкость выполнения производственной задачи значительно отличается от номинальной и превышает её на суммарную величину межличностных взаимодействий членов рабочей группы.
Поскольку взаимодействия членов рабочей группы являются неотъемлемой частью производственного процесса, они требуют учёта и нормирования.
В качестве математических методов вычисления номинальной трудоёмкости проектов и коэффициента затрат времени на межличностные взаимодействия можно предложить предложенные и апробированные аналитический и статистический подходы.
1. Poznyak T.A. The Conceptual Apparatus of Higher Education Digital Transformation Development. Science and Innovations. 2023;1(12):63-67. DOIhttps://doi.org/10.29235/1818-9857-2023-12-63-67.
2. Kiselevskiy O.S., Khariton E.O. Teaching Agile Project Management Methods and Agile Teaching Methods. In: Proceedings of the International Scientific and Methodological Conference on Engineering Education in the Digital Society; 2024 Mar 14; Minsk: Belarusian State University of Informatics and Radioelectronics: 2024. p. 358-363.
3. Glotochkin A.D., Lozhkin G.V., Spasennikov V.V. The Method of Formation of Small Groups with Taking into Account of Interpersonal and Operational Relations. Psychological Journal. 1986;7(1):22-29.
4. Bagretsov S.A., Mishin A.I., Rozanova L.V. Model of Specialists’ Communicative Behaviour in Context-Free Communication Groups. Ergodesign. 2023;4(22):301-308. DOIhttps://doi.org/10.30987/2658-4026-2023-4-301-308.
5. Kirichek A.V., Morozova A.V. Axiomatic Basis of Quality Metering Multidimensional Model of Socially-Professional Competence of Young Specialist. Izvestia of Samara Scientific Centre of the Russian Academy of Sciences. 2011;13(4-4):1232-1235.
6. Nonaka I., Takeuchi H. Humanizing Strategy. Long Range Planning. 2021;54(4):102070. DOIhttps://doi.org/10.1016/j.lrp.2021.102070.
7. Bourdieu P. Economic Capital, Cultural Capital, Social Capital. Soziale-Welt, Supplement. 1983;2(13):183-198.
8. Spasennikov V.V. Improvement of the System for Creating Intellectual Property Objects. Economics of Science. 2024;10(3):66-81. DOIhttps://doi.org/10.22394/2410-132X-2024-10-3-66-81.
9. McComb C., Cagan J., Kotovsky K. Optimizing Design Teams Based on Problem Properties: Computational Team Simulations and an Applied Empirical Test. Journal of Mechanical Design. 2017;139(4):041101. DOIhttps://doi.org/10.1115/1.4035793.
10. Naur P., Randell B. Software Engineering: Report of a Conference Sponsored by the NATO Science Committee; 1968 Oct 7-11; Garmisch (Germany). Brussels: Scientific Affairs Division, NATO; 1969. 231 p.
11. Royce W.W. Managing the Development of Large Software Systems. Proc. IEEE WESCON. 1970;1-9. DOIhttps://doi.org/10.7551/mitpress/12274.003.0035.
12. Brooks F.P. The Mythical Man-Month. Datamation. 1974;20(12):44-52.
13. Orlov A.I. On the Requirements for Statistical Methods of Data Analysis (Generalizing Article). Industrial Laboratory. Diagnostics of Materials. 2023;89(11):98-106. DOIhttps://doi.org/10.26896/1028-6861-2023-89-11-98-106.
14. Khatskevich G.A., Rusilko T.V. Econometrics. Minsk: RIVSh; 2021. 450 p.
15. Bergtold J.S., Shanoyan A. Assessment of Group Formation Methods on Performance in Group-Based Learning Activities. Frontiers in Education. Frontiers Media SA. 2024;9:1362211-01-09. DOIhttps://doi.org/10.3389/feduc.2024.1362211.
16. Orlov A.I. Organizational and Economic Modelling and Management Tools. National Open University INTUIT; 2016. 425 p.
17. Nikulin A.A. Discipline As a Fundamental Condition for Effective Use of the Production Organization Laws. Vestnik of Voronezh State Agrarian University. 2011;1(28):94-98.




